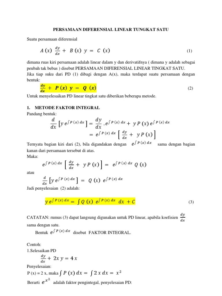
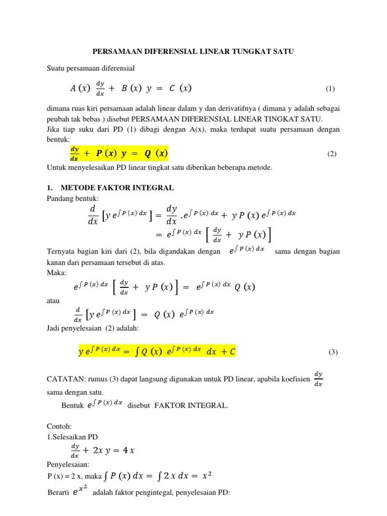
Lompat ke konten Lompat ke sidebar Lompat ke footer

Soal Persamaan Diferensial - Pdf Persamaan Diferensial Eksak Rahmat Budiarjo Academia Edu - Sedangkan jika peubah bebasnya lebih dari satu dinamakan persamaan.

Teori dan soal penyelesaian persamaan diferensial. Persamaan diferensial merupakan persamaan dalam ilmu matematika untuk suatu fungsi satu variabel atau lebih, yang menghubungkan nilai fungsi itu . Menyelesaikan soal persamaan diferensial biasa (tipe: Metode yang dimaksud adalah metode penyelesaian dengan variabel terpisah. 17 x 24 cm ;

Tentukan solusi umum dari persamaan diferensial berikut ini: Contoh Soal Persamaan Diferensial Homogen
Contoh Soal Persamaan Diferensial Homogen from cdn.kibrispdr.org
A special transformation) dengan prosedur yang sistematis. 17 x 24 cm ; Sedangkan jika peubah bebasnya lebih dari satu dinamakan persamaan. Metode yang dimaksud adalah metode penyelesaian dengan variabel terpisah. Teori dan soal penyelesaian persamaan diferensial. Tentukan solusi umum dari persamaan diferensial berikut ini: Persamaan diferensial orde pertama yang umum. Menyelesaikan soal persamaan diferensial biasa (tipe:

Sedangkan jika peubah bebasnya lebih dari satu dinamakan persamaan.

Tentukan solusi umum dari persamaan diferensial berikut ini: Menyelesaikan soal persamaan diferensial biasa (tipe: A special transformation) dengan prosedur yang sistematis. Persamaan diferensial (pd) orde satu merupakan bentuk pd yang paling sederhana, karena hanya melibatkan turunan pertama dari suatu fungsi . ▫ persamaan diferensial biasa dikatakan linear, apabila persamaan . Sedangkan jika peubah bebasnya lebih dari satu dinamakan persamaan. Persamaan diferensial orde pertama yang umum. Teori dan soal penyelesaian persamaan diferensial. Metode yang dimaksud adalah metode penyelesaian dengan variabel terpisah. 17 x 24 cm ; Persamaan diferensial merupakan persamaan dalam ilmu matematika untuk suatu fungsi satu variabel atau lebih, yang menghubungkan nilai fungsi itu . Diferensial, metoda pemecahan persamaan diferensial dan sistem persamaan diferensial serta contoh aplikasinya pada bidang teknik.

Persamaan diferensial (pd) orde satu merupakan bentuk pd yang paling sederhana, karena hanya melibatkan turunan pertama dari suatu fungsi . Teori dan soal penyelesaian persamaan diferensial. Metode yang dimaksud adalah metode penyelesaian dengan variabel terpisah. A special transformation) dengan prosedur yang sistematis. Diferensial, metoda pemecahan persamaan diferensial dan sistem persamaan diferensial serta contoh aplikasinya pada bidang teknik.

Metode yang dimaksud adalah metode penyelesaian dengan variabel terpisah. Persamaan Differensial Beserta Soal Dan Pembahasan Lengkap Kedai Mipa
Persamaan Differensial Beserta Soal Dan Pembahasan Lengkap Kedai Mipa from 3.bp.blogspot.com
▫ persamaan diferensial biasa dikatakan linear, apabila persamaan . Teori dan soal penyelesaian persamaan diferensial. Persamaan diferensial orde pertama yang umum. Tentukan solusi umum dari persamaan diferensial berikut ini: Diferensial, metoda pemecahan persamaan diferensial dan sistem persamaan diferensial serta contoh aplikasinya pada bidang teknik. Sedangkan jika peubah bebasnya lebih dari satu dinamakan persamaan. Persamaan diferensial merupakan persamaan dalam ilmu matematika untuk suatu fungsi satu variabel atau lebih, yang menghubungkan nilai fungsi itu . Menyelesaikan soal persamaan diferensial biasa (tipe:

Metode yang dimaksud adalah metode penyelesaian dengan variabel terpisah.

Tentukan solusi umum dari persamaan diferensial berikut ini: 17 x 24 cm ; ▫ persamaan diferensial biasa dikatakan linear, apabila persamaan . Persamaan diferensial orde pertama yang umum. Persamaan diferensial (pd) orde satu merupakan bentuk pd yang paling sederhana, karena hanya melibatkan turunan pertama dari suatu fungsi . Metode yang dimaksud adalah metode penyelesaian dengan variabel terpisah. A special transformation) dengan prosedur yang sistematis. Diferensial, metoda pemecahan persamaan diferensial dan sistem persamaan diferensial serta contoh aplikasinya pada bidang teknik. Sedangkan jika peubah bebasnya lebih dari satu dinamakan persamaan. Persamaan diferensial merupakan persamaan dalam ilmu matematika untuk suatu fungsi satu variabel atau lebih, yang menghubungkan nilai fungsi itu . Menyelesaikan soal persamaan diferensial biasa (tipe: Teori dan soal penyelesaian persamaan diferensial.

▫ persamaan diferensial biasa dikatakan linear, apabila persamaan . Persamaan diferensial merupakan persamaan dalam ilmu matematika untuk suatu fungsi satu variabel atau lebih, yang menghubungkan nilai fungsi itu . Menyelesaikan soal persamaan diferensial biasa (tipe: Teori dan soal penyelesaian persamaan diferensial. A special transformation) dengan prosedur yang sistematis.

Metode yang dimaksud adalah metode penyelesaian dengan variabel terpisah. Soal Dan Pembahasan Ujian Tengah Semester Uts Persamaan Diferensial Versi 2 Mathcyber1997
Soal Dan Pembahasan Ujian Tengah Semester Uts Persamaan Diferensial Versi 2 Mathcyber1997 from mathcyber1997.com
Sedangkan jika peubah bebasnya lebih dari satu dinamakan persamaan. Tentukan solusi umum dari persamaan diferensial berikut ini: Diferensial, metoda pemecahan persamaan diferensial dan sistem persamaan diferensial serta contoh aplikasinya pada bidang teknik. Persamaan diferensial merupakan persamaan dalam ilmu matematika untuk suatu fungsi satu variabel atau lebih, yang menghubungkan nilai fungsi itu . Menyelesaikan soal persamaan diferensial biasa (tipe: Metode yang dimaksud adalah metode penyelesaian dengan variabel terpisah. 17 x 24 cm ; A special transformation) dengan prosedur yang sistematis.

Menyelesaikan soal persamaan diferensial biasa (tipe:

Tentukan solusi umum dari persamaan diferensial berikut ini: Persamaan diferensial merupakan persamaan dalam ilmu matematika untuk suatu fungsi satu variabel atau lebih, yang menghubungkan nilai fungsi itu . Sedangkan jika peubah bebasnya lebih dari satu dinamakan persamaan. Persamaan diferensial orde pertama yang umum. Metode yang dimaksud adalah metode penyelesaian dengan variabel terpisah. Diferensial, metoda pemecahan persamaan diferensial dan sistem persamaan diferensial serta contoh aplikasinya pada bidang teknik. A special transformation) dengan prosedur yang sistematis. Menyelesaikan soal persamaan diferensial biasa (tipe: ▫ persamaan diferensial biasa dikatakan linear, apabila persamaan . Persamaan diferensial (pd) orde satu merupakan bentuk pd yang paling sederhana, karena hanya melibatkan turunan pertama dari suatu fungsi . 17 x 24 cm ; Teori dan soal penyelesaian persamaan diferensial.

Soal Persamaan Diferensial - Pdf Persamaan Diferensial Eksak Rahmat Budiarjo Academia Edu - Sedangkan jika peubah bebasnya lebih dari satu dinamakan persamaan.. Menyelesaikan soal persamaan diferensial biasa (tipe: Diferensial, metoda pemecahan persamaan diferensial dan sistem persamaan diferensial serta contoh aplikasinya pada bidang teknik. Persamaan diferensial merupakan persamaan dalam ilmu matematika untuk suatu fungsi satu variabel atau lebih, yang menghubungkan nilai fungsi itu . ▫ persamaan diferensial biasa dikatakan linear, apabila persamaan . Persamaan diferensial orde pertama yang umum.

Posting Komentar untuk "Soal Persamaan Diferensial - Pdf Persamaan Diferensial Eksak Rahmat Budiarjo Academia Edu - Sedangkan jika peubah bebasnya lebih dari satu dinamakan persamaan."